حل كتاب الرياضيات الصف التاسع الفصل الاول 2025-2026
ضع الأعداد الآتية في مكانها المناسب في الجدول :

تمارين ذاتية
حدد ما إذا كان كل عدد مما يلي عدداً نسبياً أو غير نسبي:

قدر كلاً مما يلي:

أوجد ناتج كلاً مما يلي موظفاً خواص الجذور التربيعية:

مهارات تفكير عليا
في أحد المعارض ، يوجد قاعة عرض ، لها أرضية مربعة الشكل مقسمة إلى أربعة أجزاء متطابقة . إذا كانت مساحة الجزء الواحد من الأرضية تساوي ٤٠٠ م ، فما طول ضلع أرضية القاعة ؟


دورك الآن (1)
رتب تصاعدياً الأعداد الآتية: رتب تنازلياً الأعداد الآتية

دورك الآن (2)
أكمل الجدول التالي:

دورك الآن (3)
أكمل الجدول التالي:

تمارين ذاتية
1- قارن بين العددين في كل مما يلي:


1. اكتب الفترة التي تعبر عن مجموعة الأعداد الحقيقية الأكبر من أو تساوي ٢ والأصغر من ٥.
2 < س ≤ 5
2. اكتب الفترة التي تعبّر عن مجموعة الأعداد الحقيقية الأكبر من ۲ والأصغر من أو تساوي 5.
2 ≤ س< 5
3. اكتب الفترة التي تعبّر عن مجموعة الأعداد الحقيقية الأكبر من -3
س > -3
4. اكتب الفترة التي تعبر عن مجموعة الأعداد الحقيقية الأصغر من أو تساوي -3
س ≤ -3

4. أكمل الجدول التالي:

مهارات تفكير عليا
تقاس سرعة إغلاق الكاميرات الرقمية بوحدة الثانية. إذا كانت سرعات إغلاق الست كاميرات الرقمية بالثانية كما يلي:

دورك الآن (1)
حدد الاجراء الذي يتم اولاً:

عبر عن فهمك

دورك الآن (2)
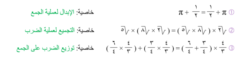
اذكر الخاصية المستخدمة:

دورك الآن (3)
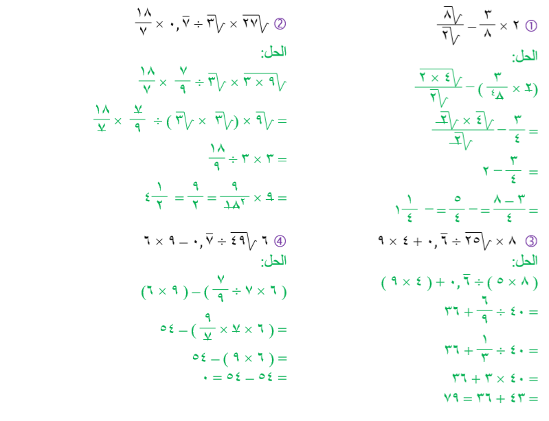
أوجد الناتج في أبسط صورة:
عبر عن فهمك
تمارين ذاتية
أوجد قيمة كلّ مما يلي بطريقتين مختلفتين:

أوجد قيمة كل مما يلي:


3. أوجد ناتج كل مما يل في أبسط صورة :

4. نظمت إحدى المدارس رحلة إلى المركز العلمي، وكانت أسعار التذاكر على الشكل الآتي: زيارة المركز ٣,٥ دنانير
زيارة قاعة الاستكشاف ٤٫٥ دنانير - أحسب المبلغ الإجمالي للرحلة
مستعينا بالجدول الموضح فيه عدد المتعلمين المشاركين؟


5. إذا أنتجت كل من الكويت والإمارات العربية المتحدة والصين الكمية نفسها من النفط في أحد الأيام ولتكن ٣,٦ مليون برميل ، وأنتجت المملكة العربية السعودية في اليوم نفسه ۱۰ ملايين برميل ، فاحسب إجمالي إنتاج الدول الأربع في هذا اليوم .

عبر عن فهمك

دورك الآن (1)
أوجد ناتج كل مما يلي مستخدماً خواص القيمة المطلقة:

دورك الآن (2)
أوجد قيمة كل مما يلي:

دورك الآن (3)
أكمل لتوجد حل المعادلات الآتية مستعيناً بالتمثيل الموضح على خط الأعداد:

تمارين ذاتية
أوجد قيمة كل مما يلي:

2. وجد مجموعة حل كل من المعادلات الآتية في ح :




